
1. Esterase Activity
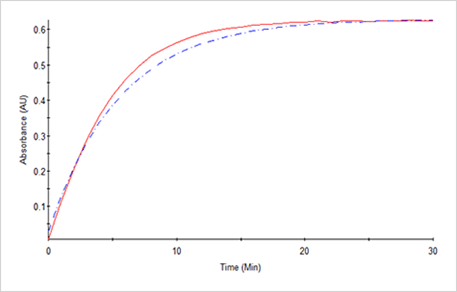
Figure 3Àº Esterase¿Í p-NPAÀÇ ¹ÝÀÀÀ» ³ªÅ¸³½ ±×·¡ÇÁÀÌ´Ù. ½Ã°£¿¡ µû¶ó p-NPA°¡ °¡¼ö ºÐÇØµÇ¸é¼ 404 nm¿¡¼ ÃÖ´ë Èí±¤ ÆÄÀåÀ» °®´Â p-NP(p-nitrophenol)¸¦ Æø¹ßÀûÀ¸·Î »ý¼ºÇϰí, ¾î´À Á¤µµ ½Ã°£ÀÌ Áö³ª¸é »ý¼º ¼Óµµ°¡ ÇöÀúÇÏ°Ô ÁÙ¾îµå´Â °ÍÀ» ¾Æ·¡ÀÇ ±×·¡ÇÁ¸¦ ÅëÇØ È®ÀÎ ÇÒ ¼ö ÀÖ´Ù. Table 1Àº Esterase Ȱ¼º ÃøÁ¤¿¡ ´ëÇÑ °á°úÀÌ´Ù.

Figure 3. Esterase activity : ½Ã°£¿¡ µû¸¥ A404 ÀÇ ÃøÁ¤

Tabel 1. Esterase Ȱ¼º ÃøÁ¤ °á°ú
2. Esterase Specific Activity
°ø½Ä(ii)¿Í 1. Esterase Activity¿¡¼ ¾òÀº ÃÑ unitÀ» ÀÌ¿ëÇÏ¿© ¾Æ·¡¿Í °°Àº EsteraseÀÇ specific activity¸¦ È®ÀÎÇÒ ¼ö ÀÖ¾ú´Ù.
Total protein : Esterase 1 mg/10 ml Stock Áß 5 ul »ç¿ë ÇÏ¿´À¸¹Ç·Î ÃÑ ´Ü¹éÁúÀÇ ³óµµ´Â 0.5 ug ÀÌ´Ù.

EsteraseÀÇ specific activity´Â 58 units/mgÀ¸·Î È®ÀÎ µÇ¾ú´Ù.

Water circulator¿Í Nano-MD ºÐ±¤±¤µµ°èÀÇ Water Jackted Single CellÀ» ÀÌ¿ëÇÏ¿© È¿¼Ò ¹ÝÀÀ¿¡ ÀûÇÕÇÑ ¿Âµµ¸¦ ¸ÂÃß°í ½ÇÇèÀ» ÁøÇà ÇÏ¿´´Ù. LabPro¢ç Plus BioÇÁ·Î±×·¥Àº ÃøÁ¤µÈ µ¥ÀÌÅ͸¦ È¿À²ÀûÀ¸·Î ºÐ¼®ÇÏ¿© È¿¼Ò Ȱ¼ºÀ» ±¸Çϴµ¥ »ç¿ë µÇ¾ú´Ù. Nano-MD systemÀ» ÀÌ¿ëÇϸé È¿¼ÒÀÇ Æ¯Â¡¿¡ µû¸¥ ¿Âµµ¸¦ ¼³Á¤ÇÒ ¼ö ÀÖ¾î È¿¼Ò Ȱ¼ºÀ» ±¸Çϴµ¥ À¯¿ëÇÏ°Ô ÀÌ¿ëµÉ °ÍÀ¸·Î »ç·á µÈ´Ù.

| 1. |
Rossomando EF. Measurement of enzyme activity. Methodes Enzymol. 182:38-49. 1990 |
|
| 2. |
Owczarzy R., Vallone P.M. Predicting sequence-dependent melting stability of short duplex DNA oligomers. Biopolymers. 44:217-239. 1997 |
|
| 3. |
GUTFREUND BY H., STURTEVANT J. M. Departmen of Colloid Science, University of Cambridge Received 9 December 1955 |
|